2020浙江高考一分一段表 艺术类第二段成绩排名及累计人数

根据浙江省普通高校招生工作进程,目前,浙江省2020年普通高校招生艺术类二段线成绩分数段表已经公布。下面小编为大家详细介绍一下,供大家参考。

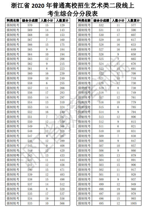
浙江高考艺术类第二段成绩排名

2020浙江高考一分一段表 艺术类第二段成绩排名及累计人数

2020浙江高考一分一段表 艺术类第二段成绩排名及累计人数

2020浙江高考一分一段表 艺术类第二段成绩排名及累计人数

2020浙江高考一分一段表 艺术类第二段成绩排名及累计人数

2020浙江高考一分一段表 艺术类第二段成绩排名及累计人数

2020浙江高考一分一段表 艺术类第二段成绩排名及累计人数

2020浙江高考一分一段表 艺术类第二段成绩排名及累计人数

2020浙江高考一分一段表 艺术类第二段成绩排名及累计人数

2020浙江高考一分一段表 艺术类第二段成绩排名及累计人数

2020浙江高考一分一段表 艺术类第二段成绩排名及累计人数

2020浙江高考一分一段表 艺术类第二段成绩排名及累计人数

2020浙江高考一分一段表 艺术类第二段成绩排名及累计人数

2020浙江高考一分一段表 艺术类第二段成绩排名及累计人数

2020浙江高考一分一段表 艺术类第二段成绩排名及累计人数

相关推荐

猜你喜欢

大家正在看