当前位置:首页> 高考试题> 数学

2020新疆高考文科数学试题及答案解析【word精校版】

2020新疆

高考文科数学答案解析

选择题

1.D 2.A 3.C 4.B 5.D 6.B 7.C 8.B 9.B 10.A 11.C 12.A

填空题

13.1/9

14.25

15.8

16.①③④

简答题

17.

18.

2020新疆高考文科数学试题及答案解析【word精校版】

19.

2020新疆高考文科数学试题及答案解析【word精校版】

20.

2020新疆高考文科数学试题及答案解析【word精校版】

21.

2020新疆高考文科数学试题及答案解析【word精校版】

22.

2020新疆高考文科数学试题及答案解析【word精校版】

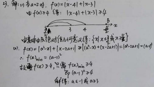
23.

2020新疆高考文科数学试题及答案解析【word精校版】

2020高考理科数学试题

2020新疆高考文科数学试题及答案解析【word精校版】

2020新疆高考文科数学试题及答案解析【word精校版】

2020新疆高考文科数学试题及答案解析【word精校版】

2020新疆高考文科数学试题及答案解析【word精校版】

2020新疆高考文科数学试题及答案解析【word精校版】

2020新疆高考文科数学试题及答案解析【word精校版】

2020新疆高考文科数学试题及答案解析【word精校版】

以上答案解析来源:百度文库,仅供参考。

相关推荐

猜你喜欢

大家正在看