
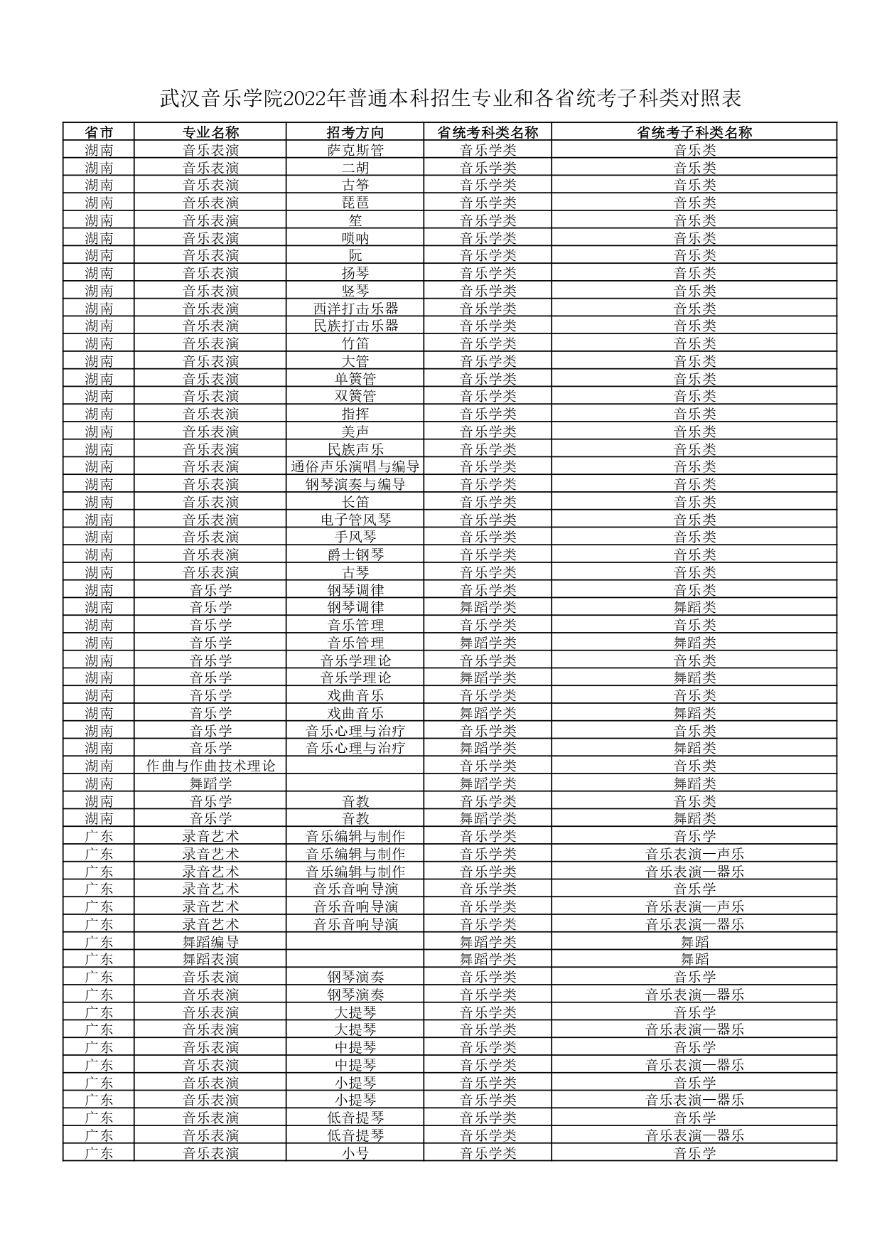
武汉音乐学院2022年普通本科招生专业和各省统考子科类对照表
东南教育网小编推荐:
武汉音乐学院就业状况如何 读研率高吗
武汉音乐学院院系有哪些 院系设置介绍
2021武汉音乐学院奖学金有哪些 奖学金一般多少钱?
普通本科招生专业和各省统考子科类对照表






























以上,就是东南教育网小编给大家带来的武汉音乐学院2022年普通本科招生专业和各省统考子科类对照表全部内容,希望对大家有所帮助!

武汉音乐学院2022年普通本科招生专业和各省统考子科类对照表
东南教育网小编推荐:
武汉音乐学院就业状况如何 读研率高吗
武汉音乐学院院系有哪些 院系设置介绍
2021武汉音乐学院奖学金有哪些 奖学金一般多少钱?
普通本科招生专业和各省统考子科类对照表






























以上,就是东南教育网小编给大家带来的武汉音乐学院2022年普通本科招生专业和各省统考子科类对照表全部内容,希望对大家有所帮助!